風阻係數 Cd 並不是「越低越好」。很多人以為只要車或物體 Cd 小,就一定代表空氣動力設計優秀,但實際上還要看「迎風面積」。
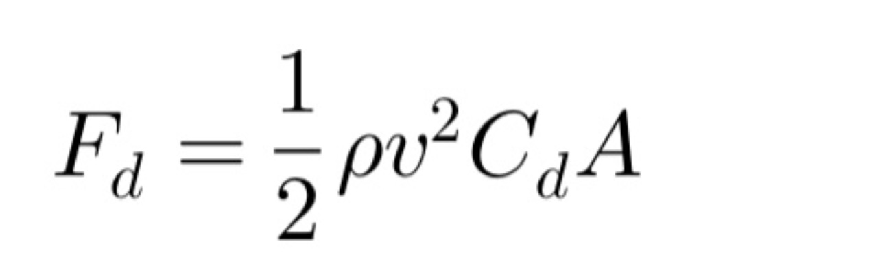
👉 風阻力公式:

其中 A 是迎風面積,影響程度跟 Cd 一樣大。
🚗 這就是為什麼一台超小的方正車(Cd 比較差,但 A 小)在低速下可能比大轎車(Cd 好,但 A 大)省油。
超跑的 Cd 值有時候不會特別低。
因為超跑需要下壓力(downforce)來增加抓地力,設計師會「犧牲」部分風阻係數。比如:
Toyota Prius Cd ≈ 0.24 (很低)
Bugatti Veyron Cd ≈ 0.36(更高)
但 Veyron 可以破 400 km/h,靠的是強大動力和空氣動力平衡。
自然界冷知識:
鳥類、鯊魚、企鵝的體型設計,都有驚人的低風阻效果。企鵝在水中的「流線型」甚至比很多人造潛艇還優秀。